Mit der Aktivierung der Google-Suche bestätigen Sie, dass Sie mit der Einbindung und der dazu erforderlichen Datenübermittlung an Google einverstanden sind. Möchten Sie, dass ihr Browser sich diese Entscheidung merkt, wird ein Cookie mit einer Gültigkeit von 31 Tagen abgelegt.
Alternativ können Sie die Suche auch mit der freien Suchmaschine DuckDuckGo durchführen!
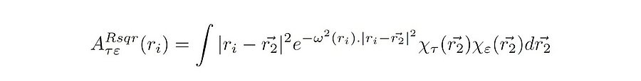
Locally Range Separated (LRS) exchange correlation functional development
Implementation of LRS-functionals in Turbomole for a better description of electronically excited states in materials and molecules that are of interest in energy conversion.